2662 卡特兰数(2)
Time Limit : 2000/1000 MS(Java/Others) | Memory Limit : 65536/32768 KB(Java/Others)
Submits : 22 | Solved : 1
Description
卡特兰数又称卡塔兰数,英文名Catalan number,是组合数学中一个常出现在各种计数问题中的数列,以比利时数学家欧仁·查理·卡塔兰 (1814–1894)的名字来命名,其前几项为 : 1, 1, 2, 5, 14, 42, 132, 429, 1430, 4862,……
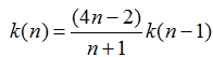
卡特兰数k(n)有如下递推关系:
令k(0)=1;
你的任务是求第n个卡特兰数。
Input
第一行输入一个整数T(T≤100)表示测试数据组数。
之后每行输入一个整数n(n≤100)。
Output
对于每组测试数据,输出一个整数表示第n个卡特兰数。Sample Input
2 1 10
Sample Output
1 16796
HINT
Source
NBU OJ

浙公网安备 33020402000166号