1461 求和号
Time Limit : 2000/1000 MS(Java/Others) | Memory Limit : 65536/32768 KB(Java/Others)
Submits : 4 | Solved : 2
Description
在数学运算中经常要计算连续的和,例如,计算1+2+3+…+n,或者等比数列a+a2+…+an。我们经常使用求和号“∑”来表示这类连续的和。通常在∑的下方标上自变量名称和初始值,在∑的上方标终止值,而在∑的右方写表达式,如:
![]()
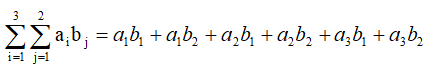
求和号也可以嵌套使用,如:
现在请计算
Input
第一行输入两个整数,表示n和m。以下从第2行到第n+1行,每行包含一个整数,依次表示ai的值。紧接着从第n+2行到第n+m+1行,每行包含一个整数,依次表示bj的值。每个文件只包含一组测试数据。Output
对每组测试数据输出一行,仅包含一个整数,即计算得到的结果。
Sample Input
2 3 1 2 4 6 8
Sample Output
54
HINT
数据范围:1<=n,m<=100,所给出的ai,bj的绝对值<=100。
注意时间限制。
Source
NBU OJ


浙公网安备 33020402000166号