1420 山寨菲波那契数列
Time Limit : 2000/1000 MS(Java/Others) | Memory Limit : 65536/32768 KB(Java/Others)
Submits : 56 | Solved : 36
Description
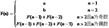
这年头,什么东西都玩山寨,我们也来凑个热闹吧。菲波那契数列你当然是熟悉的,那么看一个“山寨”菲波那契数列吧,它的递推式如下: 式中a和b是常数。给定a、b和n,计算对应的F(n) 的值。
Input
第一行输入测试用例的个数T;后面T行分别输入测试的用例,每个测试一行,内容分别为整数a、b和n。已知数据范围:a<=10,b<=10,n<=30。Output
输出对应的F(n)的值,每个样例结果占据一行。
Sample Input
2 1 2 3 1 3 6
Sample Output
3 24
HINT
Source
The 9th NBU Programming Contest

浙公网安备 33020402000166号